首页
关于我们
学校简介
办学资质
发展历程
师资阵容
主讲老师
助教老师
课程服务
课程督学
教辅资料
升本资讯
学校简介
资讯速览
留言问答
升本问答
备考攻略
培训报班
资料领取
备考笔记
电子讲义
考点汇总
免费试听
联系我们
升本资讯
您当前的位置:
首页
>>升本资讯
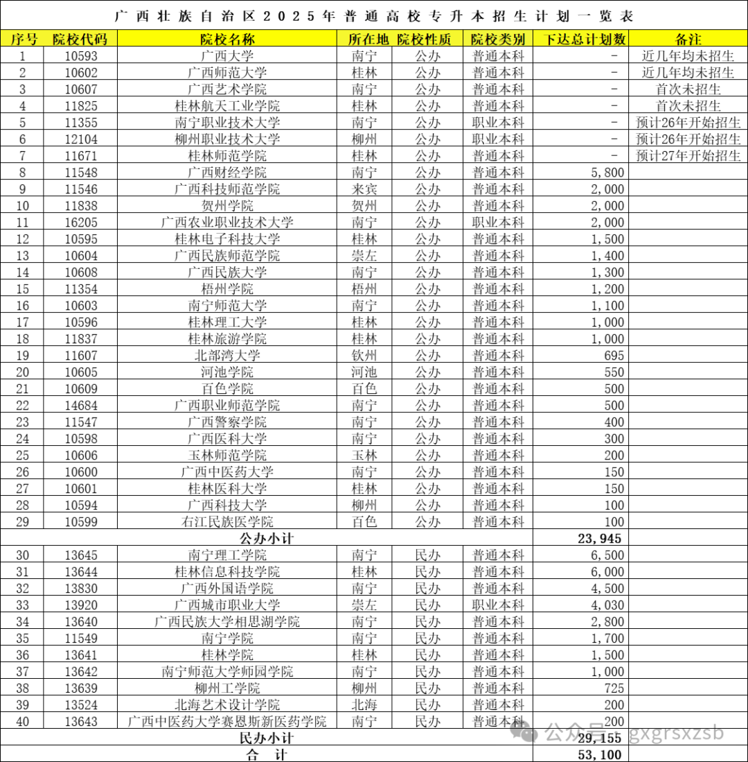
2025广西专升本招生计划总计53100人!(公办22所:23945人,民办11所:计划29155人)!
发表时间:
2026-03-10
阅读次数: 字体:【
大
中
小
】
2025广西专升本招生计划一览表
注意:具体招生计
划以广西招生考试院为准。
上一篇:
明确!2026广西专升本考试报名办法公布!
下一篇:
广西专升本想上岸,这5个谣言,千万要注意